通过对差压法气密性检测的工作原理、工艺参数进行分析,采用正交试验设计方法,快速确定差压法气密性检测的关键影响工艺参数,提高检测效率及精度。
排气歧管做为汽车发动机的零部件,需要满足发动机高温高压的密封条件,对性能有气密性要求,如果出现漏气现象,将会影响发动机的动力性能、排放性能以及整机的噪声,因此需要对发动机排气歧管进行气密性检测。传统的排气歧管气密性检测方法是浸水法和涂抹法,随着工业自动化和检测技术的发展,浸水法和涂抹法正逐渐被淘汰,目前比较通行的气密性检测方法是差压法气密性检测。在采用气密性检测仪的基础上,辅以定位、自动密封、电气控制、液压与气动系统构成试漏机,实现在生产线上批量生产对零件气密性进行智能检测的需求。为了满足整个生产线的节拍要求,深圳富源达认为气密性检测工艺参数的确定是检测效率及精度的关键影响因素。
本文通过对差压法气密性检测工作原理、工艺参数进行分析,采用正交试验设计方法,可以快速确定差压法气密性检测的关键影响工艺参数,提高检测效率及精度。
1、差压法气密性检测原理
差压法气密性检测是利用气体流量公式通过测量容器内压力的变化来计算泄漏量的检测方法。密闭的容器由于泄漏,必然造成容器内气体质量的流失,使得容器内原有的压力减低,因此可以通过测量容器内气体压力降低的数值计算出实际容器泄漏的气体量。
差压法气密性检测的工作循环包括4 个过程,即充气过程、平衡过程、检测过程和排气过程。
(1)充气过程:将系统压力调定到测试压力,打开充气阀、测漏阀,标准容器和被测工件充入压力等于测试压力的压缩空气,由于气体流动的影响,此时系统内部压力、温度都会波动,须持续充气直至标准容器、被测工件充气完全。
(2)平衡过程:关闭充气阀、测漏阀,截断气源与标准容器、被测工件的通路,由于充气及关闭阀的动作会引起容器内气体压力的脉动,导致标准容器与被测工件间的差压不稳定,呈现出无规则的变化,须延迟一段时间,待差压值稳定后才能测量差压变化。
(3)检测过程:检测差压传感器的输出,由于泄漏产生的压力降在测试压力附近近似的与时间成正比,因此可以测量出在一定时间内差压的变化值。
(4)排气过程:待测量完差压的变化值,标准容器、被测工件内的剩余气体通过气阀排到大气里,结束一个检测过程。
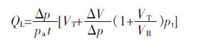
气体泄漏量的计算公式

标准容器和被测工件的压差值在检测阶段基本上呈线性关系,由此可推导出气体泄漏量的计算公式:式中QL———气体泄漏流量,mL/s;Δp———差压变化量,Pa;pa———大气压力,Pa;t———产生差压Δp 相对应的测试时间,s;ΔV/Δp———差压传感器系数,取1.36×10-7mL / Pa;VR———标准容器容积,mL;VT———被测工件容积,mL;pt———测试压力,Pa。
2、差压法气密性检测工艺参数
2.1、泄漏率
工件的泄漏率实际上就是工件的允许泄漏量。工件的泄漏率取决工件的材料、结构及实际工况条件。排气歧管的泄漏率标准是发动机设计部门根据发动机性能而确定的。在实际生产中,从经济角度考虑确定泄漏率是很关键的,检测应该是在必要条件下尽可能精准,而不是越精准越好。
2.2、测试压力
通常泄漏率都要参考给定的测试压力,而测试压力都是参照工件实际工况条件确定的。被测工件疏松度高(如铸造缩松、裂纹),泄漏率正比于测试压力;疏松度低,泄漏率与测试压力的比值变小。另外随着测试压力的增高,还会带来诸如温度影响,所需平衡时间需要加长。因此,如果工况压力较大可以换算到低压状态的泄漏率,同时可在一定压力范围内进行泄漏检测,然后选择一个满足测试要求的较低的压力确定为*终的测试压力。
2.3、温度
对于密闭容器内的气体,当温度升高时其内部的压力随之升高,因而温度是影响压力变化的重要因素。
环境温度的变化以及工件的材料、几何形状、内腔容积、表面积等都会成为影响温度效应的因素。采用差压法测量时,当采用的标准容器与测量工件具有相同的几何形状及内腔容积时,由充气本身引起温度变化效应可被测试系统自身消除。在通常的测量条件下由于测试时间较短温度的影响不会十分显著。
2.4、充气时间
充气时压缩空气由受压状态进入一个密闭容器后,会引起系列的热力学、动力学变化,其压力会发生降低,标准容器与被测工件内的压力会存在显著的差异,当充气压力或测试容积增加时,这种充气引起的压力变化会更加明显。若此时进行测量,则这种压力的变化会被视作泄漏所引起的压力变化,影响测量结果的准确性。因此,应保持足够的充气时间,以保证标准容器与被测工件内的压力大致平衡。
2.5、平衡时间
由于冲气效应的存在,在充气与检测之间增加一段平衡时间是必要的,平衡时间的长短需要根据具体的测量对象来确定。
2.6、检测时间
由于泄漏产生的压力降在测试压力附近近似的与时间成正比,可以测量出在一定时间内差压的变化值,进而计算泄漏量的大小。理论上测试时间越长,越有助于获得准确的测试精度,但这与生产线的实际需求是矛盾的,同时检测时间过长,压力降过大,压力降与时间的比例会变化,检测精度反而会降低。当工件的测试压力较高、测试容积较大、泄漏率较小时,需要延长测试时间,以保证工测试的精度。